Apologies for a long period of silence, I was traveling on work and then on vacation outside India and in the process just did not have the time to respond to messages and also add any posts. Normal service resumes though!
I only got three correct answers for this puzzle – two of them being 9 year olds and third one 11 year old, I presume it was too simple for most people. Congratulations to Mahi Saraf, Arushi Goyal and Aneyaa Dube!.
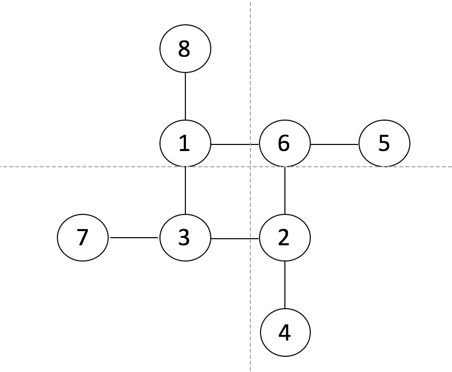
In the interest of time, I will keep the explanation short for this answer, though it is important to note that this method is often used for many similar magic grid puzzles. Here is an explanation, and I am also attaching the full solution from Mahi Saraf as well:
- If we add all the numbers, they sum to 36, where as if we add all the 4 lines (each of which add up to 12), they add to 48. That leads to the conclusion that the center 4 boxes add up to 12
- Center 4 boxes, therefore, can be 1,2,3,6 or 1,2,4,5
- Recognize that 8 needs to be in outer boxes – whichever line connects to it, needs to have the other two boxes add up to 4 (12 – 8). If the center boxes had 1,2,4,5, we cannot get any combination of two boxes that add up to 4. Therefore, the center boxes will have 1,2,3,6
- We also now know that 1 and 3 need to be adjacent to each other
- We also know that 1 and 2 cannot be adjacent to each other as that line will need a “9” to add up to 12 then, therefore, 1 and 2 need to be opposite to each other and 6 and 3 will be adjacent to each other
- You can now form the full picture
Hope you all enjoyed the puzzle!


